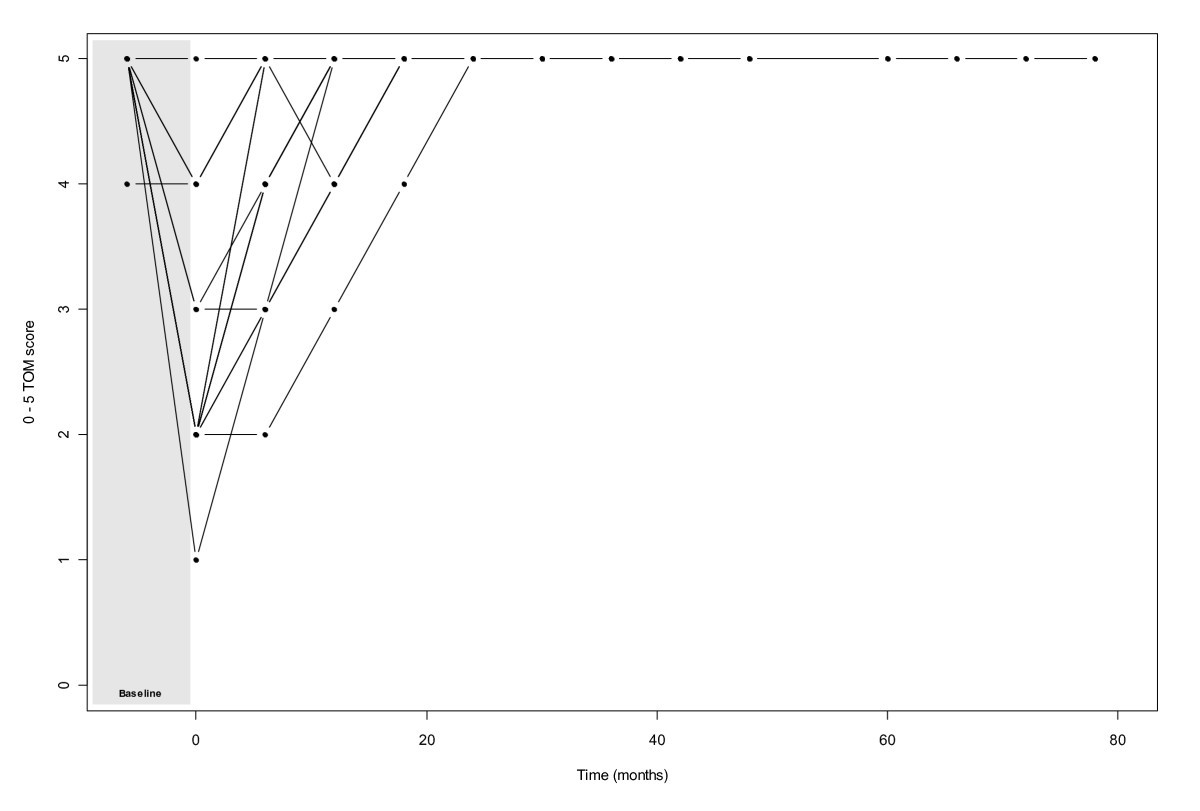
Figure 1From: Intensity modulated radiotherapy (IMRT) in the management of locally advanced oropharyngeal squamous cell carcinomata (SCC): disease control and functional outcome using the therapy outcome measure (TOM) score - report from a single U.K. institutionGraph illustrating the recovery of TOM score over time for patients who recovered to at least their baseline swallowing function (n = 15) (Shaded area represents time during radiotherapy)Back to article page